Synthesis of substituted indoles

2012-10-23

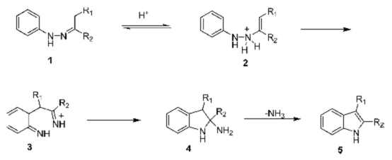
Substituted indoles are structural elements of the tryptophan-derived tryptamine alkaloids like the neurotransmitter serotonin, and melatonin. 

Practical Methodologies for Synthesis of Indoles














                                                                        

CAS NO:  1076-74-0                                  CAS NO:  96631-87-7                           CAS NO:  52415-29-9